本文涉及印刷電子產品和PCB。我獲得了從事PCB設計的帶寬設計技術,后來將相同的原理應用于印刷電子設計。在本文中,我將解釋我對帶寬的了解,以及如何將其應用于PCB和印刷電子產品。
在詳細介紹帶寬之前,我認為有必要重新審視我們在電子領域中“信號”一詞的含義。至少對我而言,最容易理解如下“信號”:信號是包含信息的電量。通常,所涉及的電量是“電壓”,而包含的信息是“電壓水平隨時間的變化”。我們有興趣了解特定時間的確切電壓水平。例如,數字信號信息是邏輯0和1狀態的隊列,只有在正確的時間檢測到正確的邏輯電平時,我們才能獲得正確的信息。從電子學的角度來看,信息為0或1,如果我們丟失任何脈沖,那么我們就會丟失信息。模擬信號沒有區別:在特定時間的特定電壓會生成信息。如果我們的電子設備(例如削波)導致模擬信號失真,那么我們將丟失信息。信號信息對于可靠的產品操作是必不可少的,有時可能需要以音頻或視覺反饋的形式向最終用戶提供信息。
當通過從時域到頻域的傅立葉變換來計算信號時,信號可能包含幾個頻率分量。時域信號是所有包含的頻率分量的總和,信號的形狀取決于每個單獨頻率的功率電平。數字信號包含一個DC分量,然后是許多強度較低的AC分量,其強度隨頻率的增加而降低。更快的信號意味著更高的頻率分量。這些交流頻率中的每一個都是一個非常窄的頻帶,即單頻正弦波信號。因此,數字信號是直流信號加上大量正弦波信號的總和。純AC信號可以是窄帶(如正弦波),因為它們不包含DC分量。
信號信息位于頻率范圍內的某處,而該信息所需的所有頻率分量都決定了帶寬。帶寬之外的頻率是不必要的,并且可以被拒絕,例如通過過濾,因為這些頻率不攜帶信號的附加信息。帶寬可以被認為是電信號的工作區域,在該區域中它不會丟失信息,并且也是信號的電路徑(即走線)或負載所必需的。然后對電子設備進行相應的設計,并且在最佳情況下,當信號饋入走線時,保持不變。如果信號速度高于走線或濾波器的帶寬,則會修改信號,這通常意味著某些頻率分量會被濾除。跟蹤本身將具有帶寬限制,
信號的帶寬由信號上升時間(10%到90%)要求決定,可以通過以下經驗法則表示:
帶寬= 0.35 / tr(1)
信號頻率并不像上升時間要求那么重要,僅僅是因為信號不同。即使信號頻率完全相同,數字信號(占空比為50%)與PWM信號(占空比為10%至90%)的上升和下降時間要求也不同。在PWM信號中,當信號“開”狀態比“關”狀態(90%)短(占空比為10%)時,這意味著與較長的“開”狀態脈沖相比,上升時間必須快得多。當然,信號頻率也很重要,因為頻率越高,其上升時間就需要越快。這種帶寬經驗法則是我用于信號帶寬相關設計任務的第一工具。我是很久以前從我大學的電子設計講師那里學到的,從那以后,我就在設計中多次使用了它。

圖1。信號上升時間與帶寬之間的關系(2)
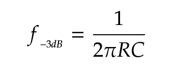
我曾經將模擬和數字信號的速度限制在所需的最小帶寬內,這可以通過濾波器輕松完成。RC濾波器是最簡單的濾波器之一,它易于實現且易于設計。對于RC濾波器,-3dB截止頻率的計算公式為:

RC濾波器的截止頻率(3)
其中R是串聯電阻,C是電阻之后接地的電容。原理圖實現在下面的圖2中給出。

圖2. RC濾波器的原理圖實現
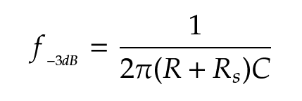
您必須記住,如果您選擇的RC濾波器電阻與信號驅動器的輸出電阻大約處于相同的歐姆水平,那么在計算-3dB截止頻率時也必須考慮到輸出電阻。RC濾波器的計算公式為:

具有輸出電阻的信號驅動器上RC濾波器的截止頻率
帶寬可以認為與-3dB截止頻率相同。截止頻率表示此時的頻率已衰減至其原始功率水平的一半。也可以使用其他濾波器,例如,許多MCU都包含一個用于GPIO上升和下降時間的壓擺率限制器。此功能產生與過濾器相同的結果,但是可以由軟件控制,不需要其他組件。過濾信號的原因基本上有兩個:1)我想最小化該特定信號的整體噪聲水平,以及2)我想最小化由于串擾引起的耦合干擾。當然,通過最佳的PCB疊層設計來最小化串擾是有意義的,但是濾波器為我們提供了另一個將其最小化的工具。
下圖顯示了示波器對3MHz數字信號脈沖的測量,帶和不帶濾波。圖3是一個“未經濾波”的信號,其速度僅受信號驅動器輸出電阻Rs和負載電容的限制,測得的上升時間為7.8ns。我們不知道確切的負載電容,但是根據該信號驅動的組件的數據手冊,有一個反向接地的保護二極管,通常這些電容的電容約為10pF。但是,在這種情況下,準確的電容值并不重要,因為根據經驗法則,帶寬現在為0.35 / 7.8ns = 44.9MHz,我們可以對其進行相當多的濾波而不會丟失信號信息。增加的濾波電容將比二極管電容高得多。

圖3. 3MHz信號,未經濾波
圖4顯示了相同的信號,但由RC濾波器濾波。我選擇了100Ω電阻器和100pF電容器,此外,我們還測量了信號驅動器的38Ω輸出電阻和?10pF IC負載電容,這些都必須考慮在內。RC濾波器計算器顯示的截止頻率為:
f-3dB = 1/2π(100? + 38?)*(100pF + 10pF) = 10.484MHz
根據帶寬計算,該帶寬的最快上升時間為0.35 / 10.484MHz = 33.4ns。從圖4中我們可以看到,測得的上升時間為37.4ns,在這種情況下,它足夠接近計算值。通常,我并不期望計算值和測量值之間有完美的匹配,但是通常我會通過快速計算來檢查結果,以確定結果是否足夠接近應用程序的要求。大多數情況下,我設計的過濾器不在邊緣,但是足夠有效并且有足夠的余量。

圖4.帶RC濾波器的3MHz信號
該信號是數字信號,從形狀上我們可以看到,濾波后我們沒有丟失信息。我們仍然可以可靠地將脈沖檢測為邏輯1,并且在下一個周期開始之前,信號仍然足夠快地進入低態。此外,由于高頻諧波已被衰減,因此噪音少得多。通過這種方法,我成功地減少了數字總線走線與敏感傳感器走線之間的串擾,并使傳感器正常工作而無需重新布線。這是通過僅過濾產生干擾的信號而完全不接觸模擬信號來實現的,因為傳感器帶寬要求高于數字總線。
在印刷電子產品中,將帶寬限制在適當的水平甚至比在PCB中更為重要。限制印刷電子設備中帶寬的主要原因是為了減少由于串擾引起的干擾。通過在阻抗和串擾方面建立最佳的堆疊,印刷電子產品受到的限制更大,我需要使用濾波器或壓擺率受限的信號。當我們考慮印刷電子設備的堆疊時,我們可以看到彼此交叉的走線僅被局部薄的印刷介電層隔開。它的厚度只有幾十微米,這意味著交叉走線之間的電容耦合非常強。跡線之間的電容取決于交叉區域和兩者之間的介電層厚度。在印刷電子產品中,走線往往比在PCB中寬,S和介電層比PCB中的薄得多,這導致走線之間的電容也更大。更大的電容意味著更低的頻率通過該“電容”耦合。除此之外,布局區域的尺寸可能與產品尺寸幾乎相同,這意味著走線的長度很長,從而增加了走線的電感。與較高的電容一樣,較高的電感會影響較低的頻率。
由于涉及各種材料和堆疊,印刷電子產品帶來了低頻帶寬挑戰,但通過廣泛用于PCB設計的已知原理和方法可以解決這些問題。另外,對帶寬的理解在印刷電子設計中很重要,需要仔細考慮。由于材料差異,印刷電子產品中與信號速度相關的挑戰與PCB中的挑戰相似,但在印刷電子產品中,我們面臨的挑戰可能要少得多。就個人而言,因此,我在原理圖中寫下了關鍵信號頻率,以提醒自己它們很重要,如果我注意到潛在的問題,則會將帶寬限制在所需的最低水平。
下一頁:無鉛PCBA加工的分步過程